Penyata Pendapatan Dan Kunci Kira Kira Syarikat Nestle





Doc Nestle Baru Mohd Fauzi Rakidin Academia Edu

Doc Nestle Baru Mohd Fauzi Rakidin Academia Edu

Isi Kandungan V Penyataan Pemegang Amanah B Penyata Pendapatan Komprehensif D Nota Nota Berkenaan Penyata Kewangan Pdf Free Download

Isi Kandungan V Penyataan Pemegang Amanah B Penyata Pendapatan Komprehensif D Nota Nota Berkenaan Penyata Kewangan Pdf Free Download

Doc Pendapatan Perbelanjaan Nurul Natasha Academia Edu

Doc Pendapatan Perbelanjaan Nurul Natasha Academia Edu

Bab 3 Fungsi Perniagaan

Bab 3 Fungsi Perniagaan

2

2

Doc Stpm Akaun Penyata Kewangan Nurul Natasha Academia Edu

Doc Stpm Akaun Penyata Kewangan Nurul Natasha Academia Edu

Doc Stpm Akaun Penyata Kewangan Nurul Natasha Academia Edu

Contoh Soalan Akaun Penyata Pendapatan Soalan Bc

Contoh Soalan Akaun Penyata Pendapatan Soalan Bc

Bab 3 Fungsi Perniagaan

Bab 3 Fungsi Perniagaan

Contoh Soalan Akaun Penyata Pendapatan J Kosong R

Contoh Soalan Akaun Penyata Pendapatan J Kosong R

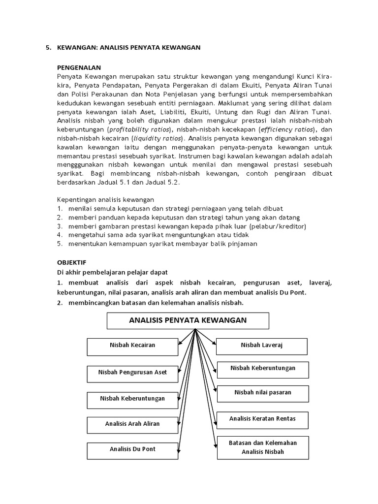
Bab5 Analisis Penyata Kewangan

Bab5 Analisis Penyata Kewangan

Doc Adib Tesis Perniagaan Adib Azaham Academia Edu

Doc Adib Tesis Perniagaan Adib Azaham Academia Edu

2

2

Tugasan Rbt 3193ee Doc Doc Document

Tugasan Rbt 3193ee Doc Doc Document

Tugasan Rbt 3193ee Doc

Tugasan Rbt 3193ee Doc

Https Disclosure Bursamalaysia Com Fileaccess Apbursaweb Download Name Ea Ds Attachments Id 120293

Https Disclosure Bursamalaysia Com Fileaccess Apbursaweb Download Name Ea Ds Attachments Id 120293

Contoh Soalan Akaun Penyata Pendapatan Rasmi Suc

Contoh Soalan Akaun Penyata Pendapatan Rasmi Suc

Kerja Kursus Pengajian Perniagaan Stpm 2018

Kerja Kursus Pengajian Perniagaan Stpm 2018

1 0 Pengenalan 2 Docx 1 0 Pengenalan Penyata Kewangan Merupakan Penyata Penyata Yang Digunakan Untuk Menganalisis Keududukan Kewangan Sesebuah Firma Course Hero

1 0 Pengenalan 2 Docx 1 0 Pengenalan Penyata Kewangan Merupakan Penyata Penyata Yang Digunakan Untuk Menganalisis Keududukan Kewangan Sesebuah Firma Course Hero

Doc Kk Pp Hilme Muhd Kime Academia Edu

Doc Kk Pp Hilme Muhd Kime Academia Edu

Analisis Penyata Kewangan

Analisis Penyata Kewangan

Source : pinterest.com